Aktuality SHMÚ
Rok 2023 - zhodnotenie

Teplota vzduchu na Slovensku v roku 2023
Rok skončil z teplotného hľadiska ako 2. najteplejší, resp. 92. najchladnejší aspoň od roku 1931. Štatisticky veľmi významné (ročné) odchýlky sa vyskytli na celom území Slovenska a tak ho charakterizujeme po teplotnej stránke ako silno až mimoriadne nadnormálny. Menšie (štatisticky nadnormálne) odchýlky sa vyskytli v časti Horehronia, Liptova a Tatier. Odchýlky od dlhodobého priemeru 1991 – 2020 sa pohybovali +0,6 °C do +1,6 °C, z toho vyplýva, že na celom území Slovenska boli kladné odchýlky. V porovnaní s jednotlivými normálmi (definovaný ako priemer alebo suma za 30 ročné obdobie určitého meteorologického prvku alebo charakteristiky) bol rok 2023 o +1,3 °C teplejší v porovnaní s 1991 – 2020, resp. o +1,8 °C ako za 1981 – 2010, resp. +2,4 °C ako za 1961 – 1990. Rok 2023 bol o -0,03 °C chladnejší ako najteplejší rok 2014, resp. o +4,5 °C teplejší ako najchladnejší rok 1940 a to aspoň od r. 1931. Najvyššiu teplotu vzduchu (ročnú) sme zaznamenali v Bratislave na letisku 12,6 °C s odchýlkou +1,4 °C od 1991 – 2020 (1. najteplejší rok aspoň od roku 1931). Priemerná odchýlka pre územie Slovenska bola +1,2 °C. Jednotlivé sezóny prispeli do celkového hodnotenia nasledovne.
Zima (2022/2023) z teplotného hľadiska skončila ako 4. najteplejšia, resp. 89. najchladnejšia aspoň od roku 1931. Štatisticky významné (sezónne) odchýlky sa vyskytli na väčšine územia a tak ju charakterizujeme ako nadnormálne teplú (Trenčiansky, Žilinský, a západná časť Prešovského kraja) až silno nadnormálne teplú (Bratislavský, Trnavský, Banskobystrický a Prešovský kraj, pričom juhovýchod Košického kraja až mimoriadne teplotne nadnormálnu. Odchýlky od dlhodobého priemeru 1991 – 2020 sa pohybovali od +1,2 °C do +3,1 °C. V porovnaní s jednotlivými normálmi (definovaný ako priemer za 30 ročné obdobie určitého meteorologického prvku alebo charakteristiky) bola zima 2022/2023 o +2,3 °C teplejšia v porovnaní s obdobím 1991 – 2020, resp. o +2,9 °C ako za 1981 – 2010, resp. o +3,4 °C ako za 1961 – 1990. Zima 2022/2023 bola o 0,9 °C chladnejšia ako najteplejšia zima v r. 2006/2007, resp. o +8,4 °C teplejšia ako najchladnejšia zima v r. 1939/1940 a to aspoň od r. 1931. Zaujímavosťou tejto zimy bol fakt, že najvyššia aj najnižšia hodnota za zimu 2022/2023 bola nameraná v priebehu toho istého mesiaca, vo februári, kedy sa vyskytlo minimum teploty vzduchu -22.5 °C (Brezno, 07.02.2023) a maximum teploty vzduchu 17.1 °C (Bratislava, letisko, 18.02.2023). Najvyššiu priemernú teplotu vzduchu (zima 2022/2023) sme zaznamenali v Bratislave na letisku 3,4 °C s odchýlkou +2,3 °C v porovnaní s 1991 – 2020 (5. najteplejšia zima aspoň od roku 1931). Najvyššiu teplotnú odchýlku sme zaznamenali vo Vysokej nad Uhom +3,1 °C. Priemerná odchýlka pre územie Slovenska bola +2,2 °C.
Jar (2023) z teplotného hľadiska skončila ako 35. najteplejšia, resp. 59. najchladnejšia aspoň od r. 1931 a v porovnaním s obdobím 1991 – 2020 ju charakterizujeme ako teplotne normálnu, len mestami v Bratislavskom kraji ako mierne podnormálnu. Štatisticky významné (sezónne) odchýlky sa, okrem spomenutého Bratislavského kraja nevyskytli. Odchýlky od dlhodobého priemeru 1991 – 2020 sa pohybovali od -1,2 °C do +0,4 °C. V porovnaní s jednotlivými normálmi (definovaný ako priemer za 30 ročné obdobie určitého meteorologického prvku alebo charakteristiky) bola jar 2023 o ‑0,3 °C chladnejšia v porovnaní s obdobím 1991 – 2020, o +0,1 °C teplejšia ako za 1981 – 2010, o +0,7 °C teplejšia ako za 1961 – 1990. Jar 2023 bola o -2,3 °C chladnejšia ako najteplejšia jar v r. 1934, resp. o +3,1 °C teplejšia ako najchladnejšia jar v r. 1955 a to aspoň od r. 1931. Najvyššiu priemernú teplotu vzduchu (jar 2023) sme zaznamenali v Hurbanove 11,2 °C s odchýlkou -0,4 °C v porovnaní s 1991 – 2020 (35. najteplejšia jar aspoň od r. 1931), najnižšiu na Lomnickom štíte -4,6 °C (33. najteplejšia jar aspoň od r. 1931) s nulovou odchýlkou. Najvyššiu kladnú teplotnú odchýlku sme namerali v Čadci (pri priemernej teplote vzduchu za jar 7,6 °C), najvyššiu zápornú odchýlku -1,2 °C v Holíči (pri 9,8 °C). Priemerná teplotná odchýlka pre územie Slovenska bola -0,3 °C.
Leto (2023) z teplotného hľadiska skončilo ako 11. najteplejšie, resp. 83. najchladnejšie aspoň od roku 1931. Sezónne (leto) odchýlky boli štatisticky teplotne normálne až nadnormálne. Odchýlky od dlhodobého priemeru 1991 – 2020 sa pohybovali od -0,3 °C do +1,2 °C. V porovnaní s jednotlivými normálmi (definovaný ako priemer za 30 ročné obdobie určitého meteorologického prvku alebo charakteristiky) bolo leto 2023 o +0,7 °C teplejšie v porovnaní s obdobím 1991 – 2020, resp. o +1,4 °C teplejšie ako za 1981 – 2010, resp. o +2,5 °C teplejšie ako za 1961 – 1990. Leto 2023 bolo o -1,2 °C chladnejšie ako najteplejšie leto v r. 2022, resp. o +4,0 °C teplejšie ako najchladnejšie leto v r. 1978 a to aspoň od r. 1931. Najvyššiu priemernú teplotu vzduchu (leto 2023) sme zaznamenali v Hurbanove 22,1 °C s odchýlkou +0,9 °C v porovnaní s obdobím 1991 – 2020 (10. najteplejšie leto aspoň od roku 1901), najnižšiu na Lomnickom štíte 5,6 °C s odchýlkou +0,8 °C (9. najteplejšia leto aspoň od roku 1931). Najvyššiu kladnú teplotnú odchýlku sme namerali na Chopku +1,2 °C, najvyššiu zápornú odchýlku -0,3 °C v Orechovej. Priemerná odchýlka pre územie Slovenska bola +0,6 °C. Počas leta sa striedali chladnejšie aj teplejšie obdobia. Z tých najvýznamnejších napr. chladné obdobie v druhej pentáde augusta a následne veľmi teplé obdobie od 14. do 28. augusta.
Jeseň (2023) z teplotného hľadiska skončila ako 1. najteplejšia, resp. 93. najchladnejšia aspoň od roku 1931. Štatisticky veľmi významné (sezónne) odchýlky sa vyskytli na celom území Slovenska a tak ju charakterizujeme po teplotnej stránke ako mimoriadne nadnormálnu. Odchýlky od dlhodobého priemeru 1991 – 2020 sa pohybovali +1,0 °C do +4,8 °C, z toho vyplýva, že na celom území Slovenska boli kladné odchýlky. V porovnaní s jednotlivými normálmi (definovaný ako priemer alebo suma za 30 ročné obdobie určitého meteorologického prvku alebo charakteristiky) bola jeseň 2023 o +2,3 °C teplejšia v porovnaní s obdobím 1991 – 2020, resp. o +2,8 °C ako za 1981 – 2010, resp. o +3,0 °C ako za 1961 – 1990. Jeseň 2023 bola o +0,6 °C teplejšia ako najteplejšia jeseň v r. 2019, resp. o +5,2 °C teplejšia ako najchladnejšia jeseň v r. 1931 a to aspoň od r. 1931. Najvyššiu priemernú teplotu vzduchu (jeseň) sme zaznamenali v Bratislave na letisku 13,6 °C s odchýlkou +2,7 °C v porovnaní s obdobím 1991 – 2020 (1. najteplejšia jeseň aspoň od roku 1931). Priemerná odchýlka pre územie Slovenska bola +2,1 °C.

.jpg)
Obr. 1: Vývoj odchýlky priemernej dennej teploty vzduchu [°C] od normálu 1991 - 2020 na vybraných meteorologických staniciach na Slovensku v období 01.01.2023 - 31.12.2023 (zdroj: SHMÚ).
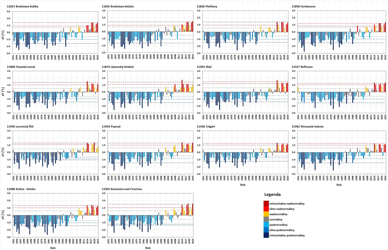
Obr. 2: Odchýlka priemernej ročnej teploty vzduchu [°C] v roku 2023 od normálu 1991 - 2020 na vybraných meteorologických staniciach v období rokov 1951 - 2023 (zdroj: SHMÚ).
Atmosférické zrážky na Slovensku v roku 2023.
Ak by sme hodnotili Slovensko ako celok, tak priestorový úhrn zrážok vypočítaný izohyetovou metódou dosiahol v roku 2023, 1003 mm, čo predstavuje 132 % normálu a takéto zrážky sa považujú za výrazne nadnormálne. Od roku 1981 boli ročné úhrny zrážok vypočítané touto metódou, pre celé územie Slovenska, vyššie iba raz, v roku 2010, kedy dosiahli extrémnu hodnotu 1255 mm. Poradie zrážkovo najbohatších mesiacov podľa uvádzanej metódy bolo v roku 2023: november (120 mm) a august (120 mm), december (105 mm) a január (103 mm). Takže medzi prvými štyrmi takýmito mesiacmi sa ocitli jeden letný, jeden jesenný a dva zimné mesiace. Veľmi pozoruhodná je predovšetkým kombinácia január, november a december. Naopak, relatívne najnižšie boli, v tomto mimoriadne bohatom roku na zrážky, mesačné úhrny zrážok v marci (45 mm) a v apríli (54 mm), čiže jarné mesiace. Z hľadiska atmosférických zrážok bol v roku 2023 zaujímavý Gemer. Napríklad v Rožňave dosiahol ročný úhrn zrážok v tomto roku 1043 mm. Bol to tam tretí najvyšší ročný úhrn zrážok aspoň od roku 1881, čiže za posledných 143 rokov. Vyššie ročné úhrny zrážok tam zaznamenali iba v roku 2010 (1163 mm) a 1937 (1084 mm) a viac ako 1000 mm tam ročný úhrn zrážok dosiahol iba v týchto troch uvádzaných rokoch analyzovaného obdobia. Zároveň treba pripomenúť, že tento región bol rok pred tým (2022) zasiahnutý mimoriadnym nedostatkom zrážok a suchom. Najvyššie ročné úhrny zrážok v roku 2023 dosiahli na Slovensku viac ako 1700 mm (napríklad Jasná 1743 mm, Skalnaté Pleso 1778 mm) a najnižšie ročné úhrny zrážok dosiahli na Slovensku v roku 2023 tesne viac ako 600 mm (napríklad Pusté Úľany 602 mm).



Obr. 3: Denný úhrn atmosférických zrážok [mm] a kumulovaný sezónny úhrn atmosférických zrážok [mm] s vyznačenou priemernou kumulovanou hodnotou atmosférických zrážok [mm] (1991 – 2020) na vybraných meteorologických staniciach na Slovensku v období 01.01.2023 - 31.12.2023 (zdroj: SHMÚ).

Obr. 4: Denný vývoj celkovej výšky snehovej pokrývky [cm] na vybraných meteorologických staniciach na Slovensku v období 01.01.2023 - 31.12.2023 (zdroj: SHMÚ).
Fenologické zhodnotenie roka 2023
Nadpriemerne teplé počasie koncom decembra 2022 a začiatkom januára 2023 spôsobilo nástup kvitnutia liesky obyčajnej (Corylus avelana L.) už v prvej dekáde januára. Nástup kvitnutia liesky sme zaznamenali v priemere o 22 dní skôr v porovnaní s dlhodobým priemerom. V Kokave nad Rimavicou, Strede nad Bodrogom, Svinici, Beši bol prekonaný najskorší výskyt tejto fenologickej fázy. Takto skoré kvitnutie liesky mohlo negatívne vplývať na ľudí trpiacich alergiou už v januári. V ďalších dekádach januára sme zaznamenali ochladenie, ktoré pozastavilo kvitnutie a pokračovalo až vo februári aj v ďalších lokalitách Slovenska.

Obr. 5: Kvitnutie liesky v oblasti Trnavy z 8.1. 2023
Nadpriemerne teplé počasie počas marca spôsobilo skorší nástup kvitnutia marhule v priemere o 12 dní v porovnaní s dlhodobým priemerom. Priebeh kvitnutia marhule negatívne ovplyvnili mrazy, ktoré sa vyskytovali na väčšine územia. V lokalite Piešťany sa počas kvitnutia marhule vyskytli 2 dni s mrazom vo výške 2 m (28.3. -2,3; 29.3. – 7,2°C). Marhuľa bola v porovnaní s ostatnými ovocným druhmi najviac zasiahnutá mrazmi. V poslednej dekáde marca sa výrazne ochladilo a podpriemerne chladné počasie spôsobilo posun nástupu kvitnutia ostatných ovocných druhov do neskorších termínov. Druhy ako hruška, jabloň, čerešňa kvitli v rámci dlhodobého priemeru. Nadpriemerné teplé počasie počas marca a následné výrazne ochladenie v poslednej dekáde tohto mesiaca, negatívne ovplyvnilo aj včelstvo. Výskyt mrazov v noci spôsobil zvýšenú chorobnosť a mortalitu v populácií včelstva. To malo za následok slabé opelenie ovocných druhov stromov na Slovensku.

Obr. 6: Minimálne teploty vzduchu počas kvitnutia marhule v lokalite Piešťany počas kvitnutia marhule
Nadpriemerne teplý september a október ako aj absencia mrazov v týchto mesiacoch mala za následok nástup jesenných fenologických fáz do neskorších termínov. Nástup všeobecného žltnutia listov na Dube (Quercus spp.) sme zaznamenali v niektorých lokalitách od 1 – do 6 dní neskôr v porovnaní s dlhodobým priemerom. V jeseni 2023 sme zaznamenali najneskoršie priemerné ukončenie opadu listov na Slovensku aspoň od roku 1990 na dube. V niektorých lokalitách táto fenologická fáza pokračovala až do 1. decembrovej dekády.

Obr. 7: Priemerné ukončenie opadu listov na dube od roku 1990 do 2023 na Slovensku

Obr. 8: Prebiehajúci opad listov na dube ku dňu 3.12.2023 v oblasti Viničné



.jpg)
