Aktuality SHMÚ
Dopady sucha na lesné porasty vo vegetačnom období 2024

Obr. 1 Klimadiagram pre meteorologickú stanicu Telgárt
Naopak, prevládali dlhšie obdobia v nadnormálnymi až extrémnymi hodnotami teploty vzduchu. Malo to vplyv na výpar, čo následne výrazne vysušovalo prírodne prostredie a podporil to aj skorý začiatok vývoja vegetácie, ktorá rýchlo odčerpávala vlahu z pôdy (Obr. 2). V prevládajúcom suchom prostredí sme však zaregistrovali obdobia s výraznejšími atmosférickými zrážkami, ktoré na konci jari mali trvalejší a veľkopriestorový charakter. V priebehu leta už jednoznačne dominovali búrkové lejaky, ktoré neprispeli k vytváraniu vlahy, čo sa prejavilo na pôdnej vlhkosti aj v hlbších profiloch (Obr. 2) v priebehu letných mesiacov a na začiatku septembra. Výrazné atmosférické zrážky sa opäť objavili pred prvou polovicou septembra. Preto charakteristiky sucha dosiahli viac vrcholov (Obr. 3).
Obr. 2 Vlhkosť pôdy v 10, 30 a 60 cm hĺbke od marca do októbra 2024
.jpg)
Obr. 3 Percento zasiahnutého územia suchom vo vegetačnom období 2024
Trvanie nedostatku vlahy je dobre viditeľné na obr. 3. Vo vegetačnom období bola aspoň 40 % času stresovaná vegetácia nedostatkom vlahy až na 60 % územia Slovenska, pričom išlo najmä o územie západného a východného Slovenska (Obr. 4).
.png)
Obr. 4 Trvanie nedostatku vlahy vo vegetačnom období (a) – % času kedy bola vegetácia stresovaná suchom
Zo začiatku vegetačného obdobia bola pôda pomerne dobre nasýtená vodou. Zhoršujúcu situáciu lesníci hlásili od konca marca vo viacerých okresoch Slovenka, kde už začiatkom mája v niektorých lokalitách Slovenska hodnotili začínajúce až mierne sucho. Vplyvom výdatných atmosférických zrážok v priebehu júna zaznamenali dobre zásobenú pôdu vodou. Počas júla sa situácia výrazne zhoršila a v poslednej dekáde júla bolo hlásené v niektorých lokalitách už silné sucho (Michalovce, Ružomberok, Námestovo, Banská Bystrica). V auguste lesníci zaznamenávali stupňujúce sa sucho, ktoré dosiahlo koncom augusta v niektorých lokalitách silné až extrémne sucho, ktoré pretrvalo až do polovice septembra (Košice-okolie, Michalovce, Topoľčany) (Obr. 5).
Obr. 5 Zásoba vody v pôde vo vegetačnom období vo vybraných okresoch Slovenska podľa hodnotení lesníkov
Dopady sucha na mladých lesných porastoch
Väčšia časť vegetačného obdobia bola prakticky bez dopadov s výnimkou umelej výsadby smreka na začiatku apríla v okrese Liptovský Mikuláš, kde boli hlásené pokročilé prejavy sucha (skupiny odumierajúcich jedincov, Obr. 6a). Výraznejšie negatívne dopady sucha boli zaznamenané až na prelome júla a augusta, kde na viacerých miestach Slovenska zaznamenali pokročilé prejavy sucha až zlyhanie výsadieb, napríklad pri smreku v okrese Ružomberok a Revúca, pri buku v okrese Žarnovica. Zlyhanie výsadieb bolo zaznamenané aj na iných drevinách. Negatívne dopady sucha sa prejavili najmä v čase, kedy lesníci hodnotili najnižšiu zásobu vody v pôde v kategórii od silného sucha až po extrémne.
Obr. 6 Maximálne hodnotené dopady sucha na umelú výsadbu buka a smreka vo vybraných okresoch v rámci vegetačného obdobia
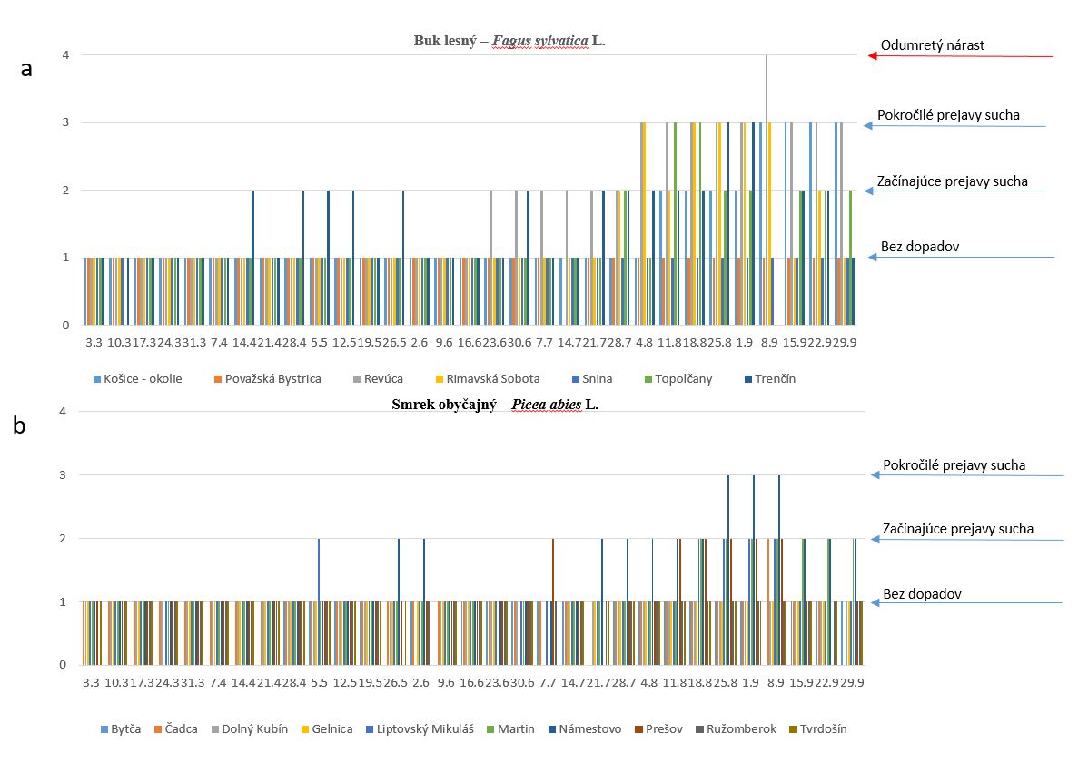
Výraznejšie negatívne prejavy na prirodzenej obnove boli hlásené od konca júla do 2. dekády septembra, najmä na drevine buk (Obr. 7).
Obr. 7 Maximálne hodnotené dopady sucha na prirodzenú obnovu (nárast, mladina) buka a smreka vo vybraných okresoch v rámci vegetačného obdobia
Dopady sucha na starších lesných porastoch
Priebeh negatívnych dopadov sucha na starších lesných porastoch bol z väčšej časti bez prejavov. S narastajúcou intenzitou sucha v priebehu júla hlásili lesníci prvé negatívne dopady sucha. Boli hlásené prejavy ako nízke hladiny vodných tokov (Brezno, Rožňava, Topoľčany). V spojení s čoraz výraznejších suchom v auguste postupne boli hlásené letné žltnutia a opad lístia bukových porastov (okresy Topoľčany, Revúca, Brezno, Trebišov, Žarnovica, Michalovce). V niektorých lokalitách v areáli duba sucho iniciovalo šírenie invázneho druhu sietničky dubovej (Corythucha arcuata). Spojenie invázneho druhu a intenzívneho sucha spôsobilo žltnutie listov a ich následný opad v priebehu augusta a začiatku septembra v pohorí Tríbeč a Považský Inovec. Opad lístia bol zaznamenaný aj na lipe, breze, jelšiach a iných listnatých drevinách. Zhoršená kondícia lesných porastov bola zachytená v 2. dekáde septembra prostredníctvom satelitných snímok najmä v oblasti západného a severozápadného Slovenska a časti východného Slovenska (Obr. 8).

Obr. 8 Relatívna kondícia vegetácie ku dňu 15.9.2024 v čase kedy na Slovensku vrcholila suchá perióda (mapa vpravo hore)
Obr. 9 Silné napadnutie inváznym škodcom sietničkou dubovou v spojení so suchom spôsobilo v niektorých lokalitách opad listov už na začiatku septembra. (Foto: J. Rozkošný)
Obr. 10 Negatívne dopady sucha sa prejavili vo všetkých vekových stupňoch bukových porastov (od nárastov až po dospelé porasty). (Foto: J. Rozkošný)
