Aktuality SHMU
Rast extrémnosti viacdenných úhrnov zrážok na Slovensku

Ako sme informovali v jednom z predošlých článkov, v súvislosti s rastom globálnej a regionálnej teploty vzduchu a množstva vodnej pary v troposfére, rastie aj pravdepodobnosť a frekvencia výskytu mimoriadne až extrémne vysokých denných a viacdenných úhrnov atmosférických zrážok. Tento fakt potvrdzujú nielen pozemné či satelitné merania, ale je fyzikálne konzistentný aj s teóriou, popisujúcou dynamické procesy spojené s tokmi vlhkosti v atmosfére a genézou atmosférických zrážok. Teória pritom uvádza, že teplejšia atmosféra, vyššia teplota povrchu oceánov a pevnín vedú nielen k vyššiemu výparu vody z ich povrchu, ale aj k schopnosti samotnej atmosféry zadržiavať väčšie množstvo vodnej pary. Uvedený trend, okrem prevažnej časti mimotropických (najmä kontinentálnych) oblastí na severnej pologuli, registrujeme aj na Slovensku, a to tak v chladnom (október – marec) ako aj teplom polroku (apríl – september). V tomto texte sa budeme venovať regionálnej analýze maximálnych 2-denných úhrnov atmosférických zrážok (ďalej len "RR2d") na území Slovenska v období 1951-2017, v prípade ktorých sme zaznamenali v niektorých oblastiach významné zmeny frekvenčnej (štatistickej) distribúcie RR2d, a to hlavne v jarných a letných mesiacoch roka.
Zmena klímy vedie k významnému rastu teploty vzduchu v celej kontinentálnej časti Európy, vrátane Slovenska. Zatiaľ čo v Európe za posledných približne 138 rokov vzrástla priemerná ročná teploty vzduchu o približne 1,5 °C (tempo rastu 0,25-0,30 °C/desaťročie od roku 1961), na Slovensku to bolo v priemere o až 1,7 – 1,8 °C, pričom najvýraznejšie sa rast teploty prejavuje v letných mesiacoch, kedy sa priemerná teplota vzduchu zvýšila aj o viac ako 2,0 °C (zmenu distribúcie odchýlok teploty vzduchu v jednotlivých ročných sezónach a mesiacoch na Slovensku a pre Bratislavu je možné vidieť na Obr. 1 – výrazný je najmä posun priemernej sezónnej teploty vzduchu na jar a v lete v prospech vyšších hodnôt medzi rokmi 1951-2017; Obr. 2 - vývoj odchýlky teploty vzduchu za teplý polrok a leto v období 1951-2018).
Keďže maximálny tlak nasýtenia vodnej pary v atmosfére rastie v závislosti od teploty vzduchu exponenciálne (má aj veľmi významný vertikálny gradient), dlhodobý rast obsahu vodnej pary v atmosfére je fyzikálne zdôvodniteľný a empiricky dokázaný dôsledkom rastu teploty vzduchu v dôsledku klimatickej zmeny. Možno ho priamo dokumentovať aj na území Slovenska, v období letných mesiacov sa prejavuje napríklad zvyšujúcou sa frekvenciou dní s dusnom (Might MD - dni s dusnom, Strong MD - dni so silným dusnom, napríklad v prípade meteorologických staníc Hurbanovo, Boľkovce a Poprad).
Zmena cirkulačných podmienok na severnej pologuli
Klimatická zmena však nevedie bezprostredne len k zvyšovaniu globálnej či regionálnej teploty vzduchu a oceánov, ale prináša aj celý rad ďalších fenoménov. V dôsledku toho, že teplota nerastie vo všetkých regiónoch sveta rovnakým tempom (napr. oblasť Arktídy sa otepľuje až trikrát rýchlejšie ako nižšie geografické šírky; ako uvádza napríklad aj posledná správa Arctic Report Card 2018), planetárne cirkulačné systémy a dlhodobá poloha riadiacich tlakových útvarov (akčných centier) a frontálnych zón na severnej pologuli prechádza zásadnými zmenami. To sa prejavuje aj tým, že v období posledných dvoch až troch desaťročí registrujeme na severnej pologuli a v Európe rastúci počet extrémnych poveternostných situácií, ktorý pravdepodobne súvisí s meniacou sa dynamikou a polohou výškového tryskového prúdenia (jet stream) v oblasti polárnej frontálnej zóny, častejším výskytom perzistentných (blokujúcich) tlakových porúch (napr. ako v apríli a máji 2018) a poveternostných situácií.
Je veľmi pravdepodobné, že práve zvyšovanie teploty vody povrchových vrstiev severného Atlantického oceánu a Severného ľadového oceánu vedie bezprostredne nielen k zvyšovaniu priemerného množstva vodnej pary v prízemných vrstvách atmosféry, ale ovplyvňuje aj dynamiku atmosférického prúdenia a následne aj proces genézy, vertikálnu a horizontálnu mohutnosť, stabilitu i dráhy postupu tlakových útvarov. Takto podmienená zmena cirkulácie atmosféry, v kombinácii s dlhodobým trendom rastu teploty vzduchu, môže mať aj v podmienkach Slovenska za následok zmenu distribúcie zrážok v priebehu roka (a prejavilo sa to aj v roku 2018 - obrázok ilustruje distribúciu množstva atmosférických zrážok v mesiaoch január - november 2018), nárast podielu búrkových lejakov na celkovom sezónnom a ročnom úhrne zrážok a narastajúcu extremalitu prejavov zrážkovej činnosti (a to aj v prípade RR2d).

Obr. 1: Zmena distribúcie (hustota pravdepodobnosti) odchýlky priemernej sezónnej (vľavo pre územie Slovenska) a mesačnej maximálnej teploty vzduchu (vpravo pre Bratislavu-letisko) v období 1951-2017 na základe údajov SHMÚ (pre sezóny: zima, jar, leto a jeseň, a pre mesiace: január - december (1-12), [Zdroj: SHMÚ; zväčšenie obrázku 1a, zväčšenie obrázku 1b]

Obr. 2: Odchýlka územného priemeru teploty vzduchu za teplý polrok (vľavo) a leto (vpravo) od normálu 1961-1990 na Slovensku v období 1951-2018 [Zdroj: SHMÚ; zväčšenie obrázku]
Metodika výpočtu 2-denných úhrnov zrážok
Sumy viacdenných úhrnov atmosférických zrážok je možné určovať dvomi odlišnými metódami (štandardné a modifikované maximálne viacdenné úhrny). V štandardnom spracovaní pod n-denným úhrnom zrážok (n = 1 až 5) rozumieme také situácie, pri ktorých musel byť každý deň tohto obdobia zaznamenaný nenulový denný úhrn zrážok. Ak sa počas n-denného obdobia vyskytol deň (prípadne dni), počas ktorých neboli zaregistrované zrážky alebo ich množstvo bolo nemerateľné (0,0 mm), celkový úhrn zrážok za uvažované obdobie bol vylúčený z ďalšej analýzy. Takýto prísny pohľad na viacdenné kontinuálne úhrny zrážok je preferovaný najmä v hydrologických spracovaniach. V klimatológii sú zaujímavé aj také obdobia so zrážkami, počas ktorých sa vyskytol jeden deň bez zrážok (treba ale zdôrazniť, že podmienka modifikovaného spracovania sa neuplatňuje pri RR2d). Úhrn zrážok, ktorý sa vyskytol na prelome dvoch mesiacov bol priradený k mesiacu, v ktorom sa vyskytla väčšia časť celkového úhrnu zrážok. Tento prístup sme uplatnili aj pri úhrnoch zrážok, ktoré sa vyskytli na prelome rokov, čo znamená, že existovala možnosť, že maximálne sumy n-denných úhrnov zrážok boli tvorené aj údajmi nachádzajúcim sa mimo zvoleného časového obdobia 1951 – 2017. Z tohto dôvodu sme do spracovania zaradili aj údaje namerané v decembri 1950, resp. v januári 2018.
Maximálna suma RR2d tak predstavuje najvyššiu hodnotu zo všetkých 2-denných súm vytvorených súčtom denných úhrnov zrážok vo zvolenom časovom období. Vlastné štatistické spracovanie pozostávalo z výpočtu maximálnych hodnôt mesačných a následne polročných súm (teplý a chladný polrok) RR2d na jednotlivých zrážkomerných staniciach (teplý a chladný polrok sú definované ako obdobie mesiacov apríl – september, resp. október – marec). V rámci spracovania bol použitý výberový súbor obsahujúci údaje z 418 reprezentatívnych staníc s kompletnými, kvalitnými a konzistentnými časovými radmi denných meraní atmosférických zrážok. Pre účely regionálnej analýzy vybraných charakteristík RR2d boli využité výstupy zhlukovej (klastrovej) analýzy mesačných a ročných úhrnov zrážok v podobe 9 regionálnych a priestorovo homogénnych (geograficky konzistentných) celkov – klastrov. Údaje boli pre potreby analýzy normalizované výpočtom odchýlok od 75. percentilu RR2d.
Maximálne 2-denné úhrny zrážok v roku 2018
Aj v priebehu tohto roka (2018) sme na Slovensku zaznamenali minimálne dve situácie, kedy sme v sieti meteorologických staníc SHMÚ zaznamenali vysoké 2-denné sumy atmoférických zrážok, a to v druhej polovici júla (17.-18.7.2018; Obr. 3), kedy napríklad v Tatranskej Javorine spadlo za 48 hodín 167,0 mm a Podspádoch 164,4 mm zrážok; a na začiatku septembra (1.-2.9.2018; podrobná analýza je k dispozícii na stránke SHMÚ).
V prípade RR2d v Tatranskej Javorine z júla 2018 ide o 3. najvyššiu júlovú a 4. najvyššiu ročnú hodnotu RR2d v období 1951 – 2018. Absolútne maximum tejto charakteristiky - 202,8 mm, bolo v tejto lokalite namerané v júli 2008. Z hľadiska klimatickej zabezpečenosti, sa nameraná hodnota RR2d 167,0 mm blíži v rámci mesiaca júl k 2 % štatistickému výskytu, čo zodpovedá pravdepodobnosti prekročenia raz za 50 rokov a v rámci kalendárneho roka môžeme pre daný sumárny úhrn hovoriť o návratnosti raz za 25 rokov.

Obr. 3: Úhrn atmosférických zrážok na Slovensku v dňoch 16.-18.7.2018 (vľavo) a 16.-22.7.2018 (vpravo) na základe údajov SHMÚ [Zdroj: KMIS SHMÚ; zväčšenie obrázku]
Maximálne 2-denné úhrny zrážok na Slovensku
Absolútne najvyššia hodnota maximálnej sumy RR2d zrážok na Slovensku v rámci obdobia 1951 – 2017 predstavovala 227,1 mm, a bola nameraná v júli 1970 na zrážkomernej stanici Rabča. Hodnoty RR2d nad 200 milimetrov boli na našom území namerané len počas mesiacov jún a júl a z hľadiska výskytu ich môžeme na území Slovenska považovať za veľmi ojedinelé, keďže evidujeme len 11 takýchto prípadoch nameraných na siedmich zrážkomerných staniciach: Rabča, Oravská Polhora – Hlina, Tatranská Javorina, Novoť, Zuberec – Zverovka, Skalnaté Pleso a Borinka. Ďalej môžeme konštatovať, že suma RR2d väčšia ako 100 mm bola zaznamenaná aspoň raz na 306 staniciach, čo predstavuje 63 % staníc celého výberového súboru. Relatívne najčastejšie sa najvyššie (rekordne vysoké) RR2d vyskytujú na Slovensku v letných mesiacoch, predovšetkým v júli (41 %), pričom v teplom polroku je výskyt maximálnych hodnôt sústredený predovšetkýcm do oblasti Tatier, Oravských, Kysuckých Beskýd a Malých Karpát (Obr. 4).

Obr. 4: Maximálne sumy RR2d zrážok na území Slovenska v chladnom (vľavo) a teplom (vpravo) polroku v období 1951-2010 [Zdroj: Markovič 2017; zväčšenie obrázku]
Dlhodobé zmeny maximálnych 2-denných úhrnov zrážok na Slovensku
V rámci štatistickej analýzy sme sa zamerali na hodnotenie dlhodobej variability a zmien vybraných ročných, sezónnych a mesačných charakteristík RR2d, tak na jednotlivých staniach (418) ako aj vo vybraných regiónoch (1 - Podunajská nížina; 2 - Záhorie, stredné Považie a Ponitrie; 3 - horné Považie, Turiec, Orava a Kysuce, Liptov; 4 - stredné Pohronie; 5 - Juhoslovenská kotlina; 6 - Horehronie, sev. časť Gemera; 7 - Spiš, Šariš, časť Liptova; 8 - Východoslovenská nížina, juh Košickej kotliny; 9 - Východné Beskydy, Vihorlat, severovýchodná časť Tatier). Výsledky bodového – staničného – spracovania trendov, pomocou metódy Kendallovho Theil-Sen (trendu), a parametrického odhadu n-ročných hodnôt maxím RR2d (s využitím parametrického GEV rozdelenia, regionálne hodnotenie zmeny n-ročnosti pre 50 a 100 ročnú hodnotu RR2d) pred chladný a teplý polrok sú uvedené na Obr. 5 a 7. Regionálne hodnotenie výskytu nadprahových maxím RR2d pre deväť regionálnych celkov je uvedené v obrázku v prílohe, regionálne štatisticky priemerných dekádnych a celkových trendov RR2D sú zobrazené v Obr. 6. Časové rozloženie hustoty pravdepodobnosti výskytu nadprahových hodnôt RR2D ako aj jej zmeny v rámci deviatich regiónov a sezón je znázornené v Obr. 8, 9 a 10 (jar, leto, jeseň a zima).

Obr. 5: Dekádne trendy maximálnych 2-denných úhrnov zrážok [mm/10 rokov] pre chladný (vľavo) a teplý (vpravo) polrok na jednotlivých meteorologických staniciach na Slovensku v období 1951-2017 [Zdroj: SHMÚ; zväčšenie obrázku]

Obr. 6: Odhad dekádnych a celkových trendov maximálnych 2-denných úhrnov zrážok pre chladný (vľavo) a teplý (vpravo) polrok v jednotlivých regiónoch na Slovensku v období 1951-2017 [Zdroj: SHMÚ; zväčšenie obrázku]

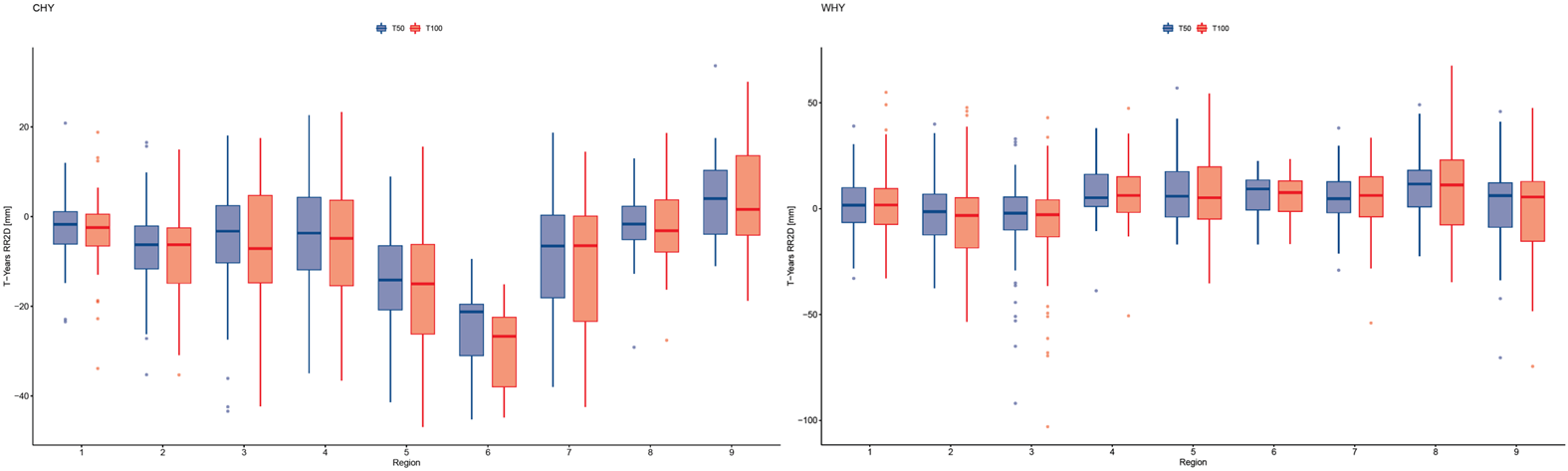
Obr. 7: Zmeny odhadovaných hodnôt (mm) maxím 2-denného úhrnu zrážok s pravdepodobnosťou opakovania 1-krát za 50 (modré) a za 100 rokov (červené) pre chladný (vľavo) a teplý (vpravo) polrok v jednotlivých regiónoch na Slovensku v porovnávacích obdobia 1951-1990 a 1981-2017 - analýza poukazuje na významný pokles 50 a 100-ročných hodnôt RR2d v niektorých regiónoch v priebehu chladného polroka (regióny 5 a 6) a na zväčša štatisticky nevýznamné zmeny - prevažne nárast - RR2d v priebehu letného polroka [Zdroj: SHMÚ; zväčšenie obrázku]
Rast maximálnych 2-denných úhrnov zrážok
Výsledky naznačujú štatisticky významné, zväčša pozitívne trendy vybraných charakteristík RR2d - predovšetkým maximálnych hodnôt RR2d (Obr. 5) - predovšetkým v období teplého polroka (apríl – september), pričom však v priestorovom rozložení uvedených zmien existujú významné regionálne rozdiely (najmä zmeny RR2d a ich návrhových hodnôt, ako aj výskytu nadprahových hodnôt RR2d v priestore stredného a východného Slovenska v teplom polroku, pravdepodobne spôsobený vyššou frekvenciou letných búrkových lejakov v podmienkach kontinentálnejšej klímy).
V prípade štandardizovaných hodnôt RR2d, s využitím nadprahových odchýlok od 75. percentilu (horný kvartil), výsledky poukazujú na významné zmeny (častejší výskyt vyšších nadprahových RR2d; v niektorých prípadoch aj o viac ako 50 %) v regiónoch východného a južnej časti stredného Slovenska predovšetkým v sezónach jar a leto, a v regiónoch južného Slovenska aj v sezónach jeseň a zima.

Obr. 8: Hustota pravdepodobnosti výskytu nadprahových maxím RR2d (nad 75. percentilom rozdelenia, vľavo) a rozdelenie teoretických a pozorovaných kvantilov RR2d (Q-Q graf) v jednotlivých regiónoch Slovenska (1-9) a pre sezóny – jar (spring - žltá), leto (summer - sivá), jeseň (autumn - tehlová červená) a zima (winter - modrá) v rámci obdobia 1951-2017; vertikálne čiary na obrázku vľavo označujú pozíciu mediánu daného rozdelenia - významne vyššie hodnoty RR2d sa vyskytujú predovšetkým na jar a v lete, v priestore južného Slovenska aj na jeseň [Zdroj: SHMÚ; zväčšenie obrázku]

Obr. 9: Zmena hustoty pravdepodobnosti (pozorovanej distribúcie) nadprahových RR2d hodnôt v jednotlivých regiónoch pre jar a leto pri porovnaní dvoch období (1951-1990 - modrá a 1991-2017 - žltá); šípky ukazujú na oblasti s významnými zmenami; vertikálne čiary na obrázku označujú pozíciu mediánu daného rozdelenia - nárastom frekvencie výskytu výšších hodnôt RR2d v štatistickom súbore [Zdroj: SHMÚ; zväčšenie obrázku]

Obr. 10: Zmena hustoty pravdepodobnosti (pozorovanej distribúcie) nadprahových RR2d hodnôt v jednotlivých regiónoch pre jeseň a zimu pri porovnaní dvoch období (1951-1990 - modrá a 1991-2017 - žltá); šípky ukazujú na oblasti s významnými zmenami; vertikálne čiary na obrázku označujú pozíciu mediánu daného rozdelenia - nárastom frekvencie výskytu výšších hodnôt RR2d v štatistickom súbore [Zdroj: SHMÚ; zväčšenie obrázku]
Zdroje a literatúra
GAÁL, L., LAPIN, M., (2002): Extreme several day precipitation totals at the Hurbanovo observatory (Slovakia) during the 20th century. Contributions to Geophysics and Geodesy, vol. 32 no. 3, p. 197-213.
Jurčová, S., Kohnová, S., Szolgay, J., Gaál, L., (2002): K výberu vhodnej distribučnej funkcie maximálnych 5-denných úhrnov zrážok, Acta Hydrologica Slovaca, 2002 , vol. 3, no. 2, p. 165 – 173.
FAŠKO, P., LAPIN, M., ŠŤASTNÝ, P., VIVODA, J., (2000): Maximum Daily Sums of Precipitation in Slovakia in Second Half of 20th Century, Prace Geograficzne, zeszyt 108, Instytut Geografii UJ, Kraków.
FAŠKO, P., ŠŤASTNÝ, P., ŠVEC, M., KAJABA, P., (2015): Výskyt a priestorové rozloženie vysokých denných a viacdenných úhrnov zrážok na Slovensku, Manažment povodí a povodňových rizík 2015 a Hydrologické dni 2015, ÚH SAV, Bratislava.
LAPIN, M., P., GAÁL, L., FAŠKO, P., (2004): Maximálne viacdenné úhrny zrážok na Slovensku, Seminár „Extrémy počasí a podnebí“, Brno, 2004, ISBN 80-86690-12-1.
LAPIN, M., GAÁL.L., FAŠKO,P., VOJTEK M., MARTINI, M., (2003): Analysis of the 1- 2-, 5-day precipitation totals in the territory of Slovakia in the period 1951-2000. Project POVAPSYS, HZ 191-100-2003: 14 pgs, 6 maps.
MARKOVIČ, L., (2017): Analýza maximálnych dvojdenných a päťdenných úhrnov atmosférických zrážok na území Slovenska v období 1951-2010. [Diplomová práca]. Univerzita Komenského v Bratislave, Fakulta matematiky, fyziky a informatiky, Oddelenie astronómie, fyziky Zeme a meteorológie. Bratislava. pp 73.
MARKOVIČ, L., FAŠKO, P., BOCHNÍČEK, O., (2016): Zmeny dlhodobých priemerných mesačných a ročných úhrnov atmosférických zrážok na Slovensku, Acta Hydrologica Slovaca, č. 2, 2016, ÚH SAV, Bratislava, pp. 235 – 242.
MIKULOVÁ, K., PECHO, J., MADARA, M., ŠŤASTNÝ, P. (2017): Climatology of water vapor pressure conditions and muggy days incidence in Slovakia. In: EMS Annual Meeting Abstracts, Vol. 14, EMS2017-374, 2017
PECHO, J., FAŠKO, P., MIKULOVÁ, K., ŠŤASTNÝ, P, (2006): Objektívna priestorová analýza dlhodobých priemerov teploty vzduchu a maximálnych denných úhrnov atmosférických zrážok na Slovensku. In: Bioklimatológia a voda v krajine. Zborník príspevkov z medzinárodnej konferencie 8 s. CD-ROM, ISBN 80-89186-12-2.
STEHLOVÁ, K., KOHNOVÁ, S., SZOLGAY, J., (2001): Analýza dvojdňových úhrnov zrážok v oblasti horného Hrona. Acta Hydrologica Slovaca, 2001, vol. 2, no. 1, p. 167-174.
