Aktuality SHMU
Jeseň 2023 - zhodnotenie

Jeseň, z teplotného hľadiska skončila ako 1. najteplejšia, resp. 93. najchladnejšia aspoň od roku 1931. Štatisticky veľmi významné (sezónne) odchýlky sa vyskytli na celom území Slovenska a tak ju charakterizujeme po teplotnej stránke ako mimoriadne nadnormálnu. Odchýlky od dlhodobého priemeru 1991 – 2020 sa pohybovali 0,8 °C do +4,8 °C, z toho vyplýva, že na celom území Slovenska boli kladné odchýlky. V porovnaní s jednotlivými normálmi (definovaný ako priemer alebo suma za 30 ročné obdobie určitého meteorologického prvku alebo charakteristiky) bola jeseň 2023 o +2,3 °C teplejšia ako hodnota za obdobie 1991 – 2020, resp. o +2,8 °C ako za 1981 – 2010, resp. +3,0 °C ako za 1961 – 1990. Jeseň 2023 bola +0,6 °C teplejšia ako najteplejšia jeseň v r. 2019, resp. +5,2 °C teplejšia ako najchladnejšia jeseň v r. 1931 a to aspoň od r. 1931. Najvyššiu teplotu vzduchu (jeseň) sme zaznamenali vo Vysokej nad Uhom 14,8 °C s odchýlkou +4,8 °C od 1991 – 2020, resp. v Bratislave v Mlynskej doline 14,0 °C s odchýlkou +3,1 °C od 1991 – 2020 (42. najteplejšia jeseň aspoň od roku 1982). Priemerná odchýlka pre územie Slovenska bola +2,1 °C. Jednotlivé mesiace sezóny (jeseň) prispeli do celkového hodnotenia nasledovne.
September bol teplotne mimoriadne nadnormálne teplý (definovaný odchýlkami od priemeru viac ako +3,5 °C) na celom území Slovenska. September skončil ako 1. najteplejší (93. najchladnejší) aspoň od roku 1931 s odchýlkou +3,5 °C od priemeru hodnôt z obdobia 1991 – 2020, resp. +3,8 °C od 1981 – 2010, resp. +4,0 °C od 1961 – 1990. September 2023 bol o +0,5 °C teplejší ako najteplejší september v r. 1942, resp. o +7,4 °C teplejší ako najchladnejší september v r. 1931 aspoň od r. 1931. Najvyššiu priemernú mesačnú (septembrovú) teplotu vzduchu sme zaznamenali v Bratislave na Kolibe 19,9 °C, 1. najvyššia (resp. 93 najnižšia) aspoň od r. 1931 s odchýlkou od priemeru hodnôt z obdobia 1991 – 2020 +4,1 °C. Najnižšiu na Lomnickom štíte +5,7 °C, 2. najvyššia (resp. 92. najnižšia) aspoň od r. 1931 s odchýlkou +4,1 °C od 1991 – 2020). Najvyššiu kladnú odchýlku sme zaznamenali na Malom Javorníku (+4,4 °C) pri priemernej mesačnej teplote vzduchu 18,1 °C, resp. na Chopku (+4,4 °C) pri priemernej mesačnej teplote vzduchu 8,8 °C. Naopak najnižšiu odchýlku (+2,6 °C) v Gabčíkove pri teplote vzduchu 18,6 °C, resp. v Orechovej (+2,6 °C) pri priemernej mesačnej teplote vzduchu 18,5 °C. To, že september bol teplotne mimoriadne teplý, môžu aj maximálne teploty vzduchu, ktoré boli štatisticky mimoriadne významne teplotne nadnormálne prakticky na celom území Slovenska, len na krajnom juhovýchode a lokálne aj v podtatranskej oblasti „len“ silno nadnormálne. To isté platí aj pre minimálne teploty vzduchu s tým rozdielom, že „len silno nadnormálne boli lokálne len krajnom východe Slovenska, inde boli všade mimoriadne vysoké (kladné) odchýlky od priemeru z obdobia 1991 – 2020. Obdobie 01. 01. – 30. 09. 2023 je 2. až 3. najteplejšie obdobie aspoň od r. 1951. Trvanie slnečného svitu bolo v septembri dlhšie ako zvyčajne a to v priemere 130% normálu (1991 – 2020) a s priemerným prebytkom 52 hodín, čo tiež napomohlo k významnosti tohto mesiaca z teplotného hľadiska.
Október bol teplotne silno nadnormálny (definovaný odchýlkami od priemeru viac ako +2,0 °C) na celom území Slovenska, dokonca v Bratislavskom kraji až mimoriadne teplotne nadnormálny (odchýlky viac ako 3,5 °C). Október skončil ako 2. najteplejší (92. najchladnejší) aspoň od roku 1931 s odchýlkou +3,0 °C od priemeru hodnôt z obdobia 1991 – 2020, resp. +3,2 °C od 1981 – 2010, resp. +3,4 °C od 1961 – 1990. Október 2023 bol o -0,5 °C chladnejší ako najteplejší október v r. 1966, resp. o +7,2 °C teplejší ako najchladnejší október v r. 1946 aspoň od r. 1931. Najvyššiu priemernú mesačnú (októbrovú) teplotu vzduchu sme zaznamenali v Bratislave, Mlynská dolina 14,5 °C, 1. najvyššia (resp. 42 najnižšia) aspoň od r. 1982 s odchýlkou od priemeru hodnôt z obdobia 1991 – 2020 +3,7 °C. Najnižšiu na Lomnickom štíte +0,5 °C, 14. najvyššia (resp. 82. najnižšia) aspoň od r. 1931 s odchýlkou +2,1 °C od 1991 – 2020). Najvyššiu kladnú odchýlku sme zaznamenali v Kuchyni, Nový Dvor (+3,8 °C) pri priemernej mesačnej teplote vzduchu 14,0 °C. Naopak najnižšiu odchýlku (+1,8 °C) v Banskej Bystrici - Zelená pri teplote vzduchu 10,7 °C. To, že október bol teplotne silno až mimoriadne nadnormálny, môžu aj maximálne teploty vzduchu, ktoré boli štatisticky mimoriadne významne teplotne nadnormálne najmä v západoslovenskom kraji (na ostatnom území nadnormálne až silno nadnormálne). To isté platí aj pre minimálne teploty vzduchu s tým rozdielom, že mimoriadne nadnormálne vysoké minimálne teploty vzduchu boli aj na východe Slovenska najmä v Prešovskom a z časti aj v Košickom kraji v porovnaní s hodnotami z obdobia 1991 – 2020. Obdobie 01. 01. – 31. 10. 2023 je 4. najteplejšie obdobie aspoň od r. 1951.
November bol teplotne normálny (definovaný odchýlkami ±1 1 °C od dlhodobého priemeru) na celom území Slovenska okrem vysokohorských polôh, kde všade teploty vzduchu dosahovali štatisticky významnejšie (záporné) odchýlky. November skončil ako 27. najteplejší (67. najchladnejší) aspoň od r. 1931 s odchýlkou +0,4 °C od hodnoty za 1991 – 2020, resp. +1,3 °C za 1981 – 2010, resp. +1,6 °C za 1961 – 1990. Odchýlky sa vyskytovali v intervale -3,1 °C až +1,0 °C s priemernou hodnotou +0,0 °C. November 2023 bol o -2,9 °C chladnejší ako najteplejší november v r. 2019, resp. o +6,5 °C teplejší ako najchladnejší november v r. 1988. Najvyššiu priemernú mesačnú (novembrovú) teplotu vzduchu sme zaznamenali v Bratislave na letisku 6,7 °C, 18. najvyššia (resp. 76. najnižšia) aspoň od r. 1931 s odchýlkou od priemeru hodnôt z obdobia 1991 – 2020 +1,0 °C. Najnižšiu na Lomnickom štíte -8,4 °C, 82. najvyššia (resp. 12. najnižšia) aspoň od r. 1931 s odchýlkou - 3,1 °C od 1991 – 2020). Najvyššiu kladnú odchýlku sme zaznamenali v Bratislave (na letisku aj na Kolibe) +1,0 °C, najnižšiu na Lomnickom štíte ‑3,1 °C. To, že november bol teplotne normálny potvrdzujú aj priemery extrémnych teplôt vzduchu, ktoré s výnimkou u maximálnych teplôt vzduchu na Orave a v oblasti Vysokých Tatier, kde dosahovali podnormálne hodnoty oproti hodnotám z obdobia 1961 – 1990, resp. u minimálnych teplôt vzduchu len vo vysokohorskom prostredí Vysokých a Nízkych Tatier, kde boli hodnoty taktiež podnormálne, na ostatnom území boli priemery extrémnych (maximálnych aj minimálnych) teplôt vzduchu v intervale normálnych (priemerných) hodnôt. Obdobie 01. 01. – 30. 11. 2023 je 3. najteplejšie obdobie aspoň od r. 1951.




Obr. 1: Vývoj odchýlky priemernej dennej teploty vzduchu [°C] od normálu 1991 - 2020 na vybraných meteorologických staniciach na Slovensku v období 1.9. - 30.11.2023 (zdroj: SHMÚ).
Obr. 2: Odchýlka priemernej sezónnej teploty vzduchu za jeseň [°C] od normálu 1991 - 2020 na vybraných meteorologických staniciach v období rokov 1951 - 2023 (zdroj: SHMÚ).
Atmosférické zrážky počas jesene 2023
Atmosférické zrážky sa vyskytovali počas jesene v dvoch odlišných obdobiach. V prvej polovici jesene bolo viac časových úsekov, kedy bolo menej zrážok, ale medzičasom, veľmi krátkodobo, aj výdatne pršalo a pomerne dlho sa vyskytovali aj búrky. V druhej polovici jesene sa už zrážky vyskytovali veľmi pravidelne a v niektorých obdobiach boli mimoriadne až rekordne vysoké. Kombinácia vývoja teplotných a zrážkových podmienok, počas tohtoročnej jesene, sa prejavila vo výskyte snehovej pokrývky, ktorá na Slovensku v septembri úplne chýbala. V októbri sa prechodne vytvorila vo vysokohorských a v niektorých stredných horských polohách. Až v priebehu novembra bol už výskyt snehovej pokrývky vo vysokých horských polohách kontinuálny. V druhej polovici novembra klesala hranica sneženia a neskôr sa tak snehová pokrývka, aspoň prechodne, vytvorila aj v niektorých nížinných oblastiach Slovenska.
V tohtoročnom septembri zaznamenali vo viacerých regiónoch Slovenska niekoľko období bez výskytu atmosférických zrážok. Zrážky sa koncentrovali iba do niektorých dní a napriek tomu ich mesačné úhrny v tomto prvom jesennom mesiaci neboli až tak veľmi vzdialené od ich dlhodobých priemerných hodnôt (1991-2020). Príkladom je Martin, kde v septembri zaregistrovali 61 mm zrážok, z ktorých nadpolovičná väčšina (32 mm) bola zaznamenaná v jednom dni, 23.9.2023. Najnižšie mesačné úhrny zrážok v septembri v roku 2023 boli zaznamenané na krajnom juhozápade Slovenska, kde na niektorých miestach dosiahli iba okolo 20 mm. Na opačnej strane súboru hodnôt mesačných úhrnov zrážok boli ich úhrny vyššie ako 80 mm. Bolo ich viac, ako tých, ktoré dosiahli iba okolo 20 mm, ale tiež predstavovali iba určité percento všetkých mesačných úhrnov zrážok. Nehovoriac už o mesačných úhrnoch zrážok vyšších ako 100 mm, pretože takéto vysoké mesačné úhrny zrážok sa v tohtoročnom septembri vyskytli iba ojedinele. Stalo sa to napríklad na Chopku (106 mm) alebo v Tatranskej Javorine (112 mm). V Bratislave, Mlynskej doline, zaznamenali v tohtoročnom septembri iba 19,9 mm zrážok a bol to tam v tomto mesiaci štvrtý najnižší mesačný úhrn zrážok aspoň od roku 1982, pričom ešte menej zrážok tam v septembri zaregistrovali v roku 2006 (19,6 mm), v roku 2009 (17 mm) a v roku 1982 (13 mm). Na meteorologickej stanici v Bratislave na Malom Javorníku zaznamenali v tohtoročnom septembri 20 mm zrážok a bol to tam tretí najnižší mesačný úhrn zrážok v tomto mesiaci aspoň od roku 1973. Takýto stav v prvej tretine jesene je v tomto regióne v posledných rokoch skôr výnimkou, pretože tam prevažujú viac zrážkovo bohatšie septembre. Na Malom Javorníku spadlo napríklad v septembri 2018 142 mm zrážok a v septembri 2014 až 228 mm zrážok. September 2023 bol však vo viacerých oblastiach Slovenska bohatší na zrážky, v porovnaní s oblasťou Bratislavy.
V októbri bolo zaznamenaných niekoľko zrážkovo významnejších poveternostných situácií, ktoré sa najviac koncentrovali do jeho druhej polovice. Niektoré z nich sa vyznačovali aj istým obmedzeným rozsahom zrážkového pásma, takže zasahovali v určitých pásoch, smerujúcich často od juhu až juhozápadu smerom na sever až severovýchod, ale iba časť územia Slovenska. Takto sa stalo, že najvyššie mesačné úhrny zrážok sa v tohtoročnom októbri koncentrovali na strednom Slovensku, kde v najexponovanejších prípadoch dosiahli viac ako 125 mm (napríklad Málinec 127 mm, Donovaly a Oravská Lesná 132 mm, Banská Bystrica 135 mm, Banská Štiavnica 138 mm, Chopok 172 mm). Naopak, najnižšie mesačné úhrny zrážok boli v tohtoročnom októbri na krajnom západe Slovenska a na juhu Východoslovenskej nížiny, kde dosiahli na niektorých miestach iba hodnoty okolo 50 mm, prípadne aj o niečo nižšie. Relatívne vysoké boli mesačné úhrny zrážok v tohtoročnom októbri na niektorých miestach vo východných častiach Podunajskej nížiny a v jej priľahlých oblastiach. Napríklad v Mochovciach to bolo 114 mm a bol to tam v tomto mesiaci tretí najvyšší mesačný úhrn zrážok aspoň od roku 1980, pričom absolútne najvyššia hodnota tam bola zaregistrovaná iba pred 3 rokmi, v roku 2020 a vtedy tam v októbri za celý mesiac napršalo 169 mm zrážok. V Dudinciach bol mesačný úhrn zrážok v tohtoročnom októbri (106 mm) tiež tretí najvyšší pre tento mesiac, ale tam to bolo od roku 1971, čiže za posledných 53 rokov. Rekordne vysoký je tam v tomto mesiaci mesačný úhrn zrážok z októbra v roku 1974, kedy tam spadlo 149 mm a za ním potom nasleduje mesačný úhrn zrážok z októbra v roku 2020 (129 mm). Treba pripomenúť, že zrážky v priebehu jesene v roku 1974 boli, predovšetkým v južnej polovici Slovenska, mimoriadne až extrémne vysoké a vyústili do vážnych povodní.
November sa tak stal zrážkovo najbohatším mesiacom skončenej jesene. V rozsiahlejších regiónoch Slovenska dosiahli mesačné úhrny zrážok viac ako 100 mm. V najzasiahnutejších oblastiach to bolo až okolo 200 mm (Donovaly 193 mm). Len tam, kde bolo v novembri najmenej zrážok, boli ich mesačné úhrny veľmi podobné ich dlhodobým priemerným hodnotám pre tento posledný jesenný mesiac. Takto to bolo na niektorých miestach na severe Záhoria (Holíč 58 mm, Senica 64 mm a relatívne menej zrážok zaznamenali v novembri niekde aj na Spiši (Gánovce 52 mm, Spišské Vlachy 59 mm). Pretože vlhké vzduchové hmoty viackrát prúdili v tomto mesiaci do priestoru Slovenska od juhu alebo juhozápadu, boli oblasti v južnej polovici Slovenska zasiahnuté výdatnejšími zrážkami viac, ako niektoré oblasti v severnej polovici Slovenska. Takže napríklad na meteorologickej stanici Štós, na južnom svahu Slovenského rudohoria, dosiahol mesačný úhrn zrážok v tohtoročnom novembri 131 mm a v Tatranskej Javorine, na severnom úpätí Tatier, to bolo 122 mm. Výnimočne sa stalo aj to, že mesačný úhrn zrážok v novembri 2023 bol rekordne vysoký. Napríklad v Trebišove zaregistrovali v tohtoročnom novembri 118 mm zrážok a bol to tam najvyšší mesačný úhrn zrážok pre tento mesiac aspoň od roku 1901, čiže za posledných 123 rokov.


Obr. 3: Denný úhrn atmosférických zrážok [mm] a kumulovaný sezónny úhrn atmosférických zrážok [mm] s vyznačenou priemernou kumulovanou hodnotou atmosférických zrážok [mm] (1991 – 2020) na vybraných meteorologických staniciach na Slovensku v období 1.9. - 30.11.2023 (zdroj: SHMÚ).
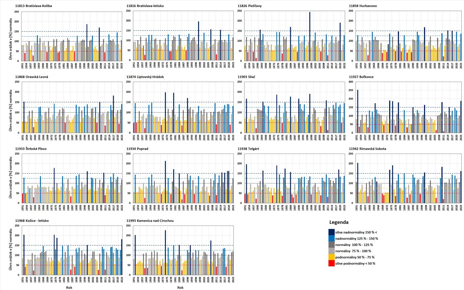
Obr. 4: Odchýlka priemerného mesačného úhrnu atmosférických zrážok [mm] od normálu 1991 - 2020 na vybraných meteorologických staniciach v období rokov 1951 - 2023 (zdroj: SHMÚ).
Obr. 5: Denný vývoj celkovej výšky snehovej pokrývky [cm] na vybraných meteorologických staniciach na Slovensku v období 1.9. - 30.11.2023 (zdroj: SHMÚ).
Zhodnotenie sucha v jeseni 2023
Pôdne sucho – Na začiatku mesiaca september bolo na väčšine územia ešte dostatok vlahy z augustových zrážok. V dôsledku slnečného počasia a vysokého výparu sa v druhej dekáde mesiaca začínajúce až mierne sucho rozšírilo najmä v povrchovej vrstve na strednom Slovensku a krajnom východe. Mierne sucho bolo na Pohroní, Podpoľaní a v Nízkych Tatrách. V poslednej dekáde sa situácia zlepšila a len lokálne sa vyskytovalo začínajúce sucho. Rozsah sucha v októbri 2023 bol najväčší na prelome prvej a druhej októbrovej dekády. Začínajúce sucho bolo na väčšine Banskobystrického kraja, na Podunajskej nížine, Ponitrí a Považí. Na východnom Slovensku bolo začínajúce sucho ojedinele na Hornom Zemplíne. Celkovo bolo začínajúcim suchom zasiahnutých najviac 14 % územia, v povrchovej vrstve to bolo až 1/5 územia. Mierne sucho bolo lokálne v Žiarskej kotline a v okolí Pezinka. V druhej polovici októbra sa vyskytli výrazné zrážky na väčšine územia, a to predovšetkým v Banskobystrickom kraji. Preto sa aj situácia viditeľne zlepšila a na konci októbra sme už sucho nikde nepozorovali. Veľmi priaznivá situácia pokračovala po celý november a sucho nikde nevyskytlo.
V septembri a až do polovici októbra bolo nasýtenie miestami na Podunajskej nížine a v juhozápadnej časti stredného Slovenska najnižšie 10-20 %. Na východnom Slovensku bolo nasýtenie najnižšie 30-40 % na juhu Zemplína. V druhej polovici októbra sa postupne vlaha doplnila a nasýtenie sa postupne zvyšovalo. V novembri bolo už len lokálne nasýtenie pod 50 %. Deficit pôdnej vlahy bol najvyšší v septembri a v prvej polovici októbra -40 až -60 mm lokálne na strednom Slovensku a krajnom východe. Na väčšine stredného Slovenska bol deficit do -40 mm a ojedinele boli takéto hodnoty aj na krajnom východe. Po výdatných zrážkach v druhej polovici októbra, sa v novembri už deficit vlahy nikde nevyskytoval a prevažoval nadbytok. Najvyššie hodnoty boli +80 až +100 mm vo východnej časti Podunajskej nížiny, na Zemplíne, Novohrade a Gemeri.
Meteorologické sucho – Prvýkrát sa mierne sucho vyskytlo v polovici septembra ojedinele na strednom a západnom Slovensku, veľmi sucho bolo na Pohroní a Hornej Nitre a lokálne aj na krajnom východe. Ku koncu septembra sa situácia zlepšila a prevažovali normálne podmienky. V októbri bolo veľmi sucho v Trenčíne, a v Bratislave-Kolibe. Mierne sucho bolo ojedinele na západnom a strednom Slovensku a ešte na dvoch staniciach na krajnom východe. V novembri boli už mierne až extrémne vlhké podmienky. Extrémne vlhko bolo najmä na Zemplíne, vo východnej časti Podunajskej nížiny, na Tekove a Honte. Najvyšší deficit zrážok za posledných 90 dní bol -99 mm v Žiari nad Hornom a ešte -98 mm v Sliači dňa 17.9. Najvyšší nadbytok zrážok za posledných 90 dní bol +138 mm v Mochovciach a +128 mm v Prievidzi dňa 30.11.

Obr. 6: Denný vývoj slnečného svitu [h] a kumulovaná sezónna suma slnečného svitu [h] s vyznačenou priemernou kumulovanou hodnotou slnečného svitu [h] (1991 – 2020) na vybraných meteorologických staniciach na Slovensku v období 1.9. - 30.11.2023 (zdroj: SHMÚ).
Fenologické zhodnotenie jesene 2023
Vplyvom mimoriadne nadpriemernej teploty vzduchu a neskorého poklesu minimálnych teplôt pod bod mrazu sme v roku 2023 na Slovensku zaznamenali na drevinách neskorý nástup jesenných fenologických fáz (všeobecné žltnutie listov – prirodzené farebné zmeny zasiahli viac ako polovicu listov na všetkých jedincoch pozorovacej skupiny a začiatok opadu listov – prvé farebne zmenené listy samovoľne padajú zo stromov). Na Slovensku sme na jeseň 2023 lokálne zaznamenali aj prekonanie najneskorších nástupov jesenných fenofáz drevín. Napríklad na buku lesnom (Fagus sylvatica) sme zaznamenali najskorší dátum nástupu všeobecného žltnutia listov (obr. 7) v Gemerskej Polome 2. septembra a najneskorší v lokalite Bacúch 29. októbra a priemerný nástup bol na Slovensku 10. októbra, zaznamenali sme teda posun o 5 dní do neskorších dátumov v porovnaní s dlhodobým priemerom (obr. 8). Fenofáza začiatok opadávania listov buka lesného nastúpila najskôr v Kšinnej 11. septembra a najneskôr v lokalite Turie 7. novembra, priemerný nástup tejto fenofázy bol na Slovensku 16. októbra, čo v porovnaní s dlhodobým priemerom predstavuje posun o 6 dní do neskorších dátumov. Žltnutie a opadávanie listov okrem teplotných výkyvov a poklesu minimálnych teplôt pod bod mrazu ovplyvňuje aj zásoba vody a živín v pôde. Ďalším dôležitým faktorom je aj vplyv fotoperiódy a prechodu do zimného kľudu. Žltnutie a opad listov je reakciou na skracovanie dní.

Obr. 7: Všeobecné žltnutie listov - buk lesný (Fagus sylvatica).

Obr. 8: Priemerný nástup všeobecného žltnutia listov a začiatku opadávania listov na Slovensku u buka lesného (Fagus sylvatica) za obdobie 1990-2023.






