Aktuality SHMÚ
Jeseň 2022 - zhodnotenie

Najvyššiu teplotu vzduchu (jeseň) sme zaznamenali v Bratislave na letisku 11,8 °C s odchýlkou +0,9 °C od 1991 – 2020 (6. najteplejšia jeseň aspoň od roku 1931). Priemerná odchýlka pre územie Slovenska bola +0,6 °C. Jednotlivé mesiace sezóny (jeseň) prispeli do celkového hodnotenia nasledovne.
September bol teplotne prevažne normálny (definovaný odchýlkami od priemeru -1 °C až +1 °C) na celom území Slovenska, podnormálny (-1,1 °C až -2 °C) v juhozápadnej časti Slovenska, lokálne aj na strednom Slovensku (Banskobystrický kraj) a v oblasti Tatier, resp. na krajnom východe. Záporné odchýlky boli prakticky na celom území Slovenska. September skončil ako 54. najteplejší (39. najchladnejší) aspoň od roku 1931 s odchýlkou -0,6 °C od priemeru hodnôt z obdobia 1991 – 2020, resp. -0,3 °C od 1981 – 2010, resp. ‑0,1 °C od 1961 – 1990. September 2022 bol o -3,6 °C chladnejší ako najteplejší september v r. 1942, resp. o +3,3 °C teplejší ako najchladnejší september v r. 1931 aspoň od r. 1931. Najvyššiu priemernú mesačnú (septembrovú) teplotu vzduchu sme zaznamenali v Bratislave na letisku 15,7 °C, 45. najvyššia (resp. 48 najnižšia) aspoň od r. 1931 s odchýlkou od priemeru hodnôt z obdobia 1991 – 2020 -0,5 °C. Najnižšiu na Lomnickom štíte ‑0,4 °C, 75. najvyššia (resp. 14. najnižšia) aspoň od r. 1931 s odchýlkou ‑2,0 °C od 1991 – 2020). Najvyššiu kladnú odchýlku sme zaznamenali vo Švedlári (+0,1 °C) pri priemernej mesačnej teplote vzduchu 12,0 °C. Naopak najnižšiu odchýlku (- 2,1 °C) na Lomnickom štíte pri teplote vzduchu -0,4 °C.
To, že september bol teplotne normálny až podnormálny môžu aj maximálne teploty vzduchu, ktoré boli štatisticky významne podnormálne na krajnom západe a na veľkej časti stredného a východného Slovenska, čo malo za následok výskyt záporných denných odchýlok od priemeru (1991 – 2020) v druhej polovici mesiaca. Trvanie slnečného svitu bolo v septembri kratšie ako zvyčajne a to v priemere 76% normálu (1991 – 2020) a priemerným deficitom 41 hodín.
Október bol teplotne nadnormálny (definovaný odchýlkami od priemeru +1,1 °C až +2,0 °C) prakticky na celom území Slovenska, teplotne silno nadnormálny (+2,1 °C až +3,5 °C) na západe až juhozápade Slovenska (Bratislavský, Trnavský a lokálne aj Trnavský kraj), resp., na severe Slovenska (Orava, Kysuce a oblasť Tatier). Kladné odchýlky od priemeru hodnôt z obdobia 1991 – 2020 boli prakticky na celom území. Október skončil ako 6. najteplejší (87. najchladnejší) aspoň od r. 1931 s odchýlkou +1,8 °C od 1991 – 2020, +2,1 °C od 1981 – 2010, resp. +2,3 °C od 1961 – 1990). Október 2022 bol o -1,6 °C chladnejší ako najteplejší október v r. 1966, resp. o +6,1 °C teplejší ako najchladnejší október v r. 1946 a to aspoň od r. 1931. Najvyššiu priemernú mesačnú (októbrovú) teplotu sme zaznamenali v Žihárci (12,9 °C, 6. najvyššia aspoň od r. 1951 s odchýlkou od priemeru hodnôt z obdobia 1991 – 2020 +1,7 °C.). Najnižšiu na Lomnickom štíte (1,3 °C, 7. najvyššia aspoň od 1931 s odchýlkou +2,9 °C od 1991 – 2020). Najvyššiu teplotnú odchýlku od priemeru hodnôt 1991 – 2020 sme zaznamenali na Chopku (+3,4 °C) pri teplote 4,2 °C. Naopak najnižšiu odchýlku (+1,0 °C) v Liptovskom Mikuláši - Ondrašová pri teplote vzduchu 8,6 °C.
To, že október bol teplotne nadnormálny až silno nadnormálny (v západnej Európe vôbec najteplejší s odchýlkou takmer 2°C oproti 1991-2020) môžu vysoké kladné odchýlky tak u minimálnej (najmä posledná pentáda mesiaca, kedy odchýlky v priemere dosahovali +5 °C ale lokálne aj maximálne až +11 °C) ako aj u maximálnej (po väčšinu mesiaca boli odchýlky od priemeru kladné, najvýraznejšie 16. 10. - 18. 10. v priemere 6 °C ale lokálne maximálne až takmer 10 °C) teploty vzduchu.
K celkovému teplotnému charakteru počasia v októbri prispel aj slnečný svit, ktorý dosahoval normálne až nadnormálne trvanie, len na západe v oblasti Bratislavy a Trnavy podnormálne hodnoty. V priemere na Slovensku bolo trvanie slnečného svitu 113% normálu z obdobia 1991 – 2020 a 15 h prebytok.
November bol teplotne normálny (definovaný odchýlkami ±1 1 °C od dlhodobého priemeru) na celom území Slovenska okrem Bratislavského, Banskobystrické a južnejších okresov Košického kraja, kde všade teploty vzduchu dosahovali štatisticky významnejšie odchýlky (>+1 °C). November skončil ako 23. najteplejší (70. najchladnejší) aspoň od r. 1931 s odchýlkou +0,9 °C od hodnoty za 1991 – 2020, resp. +1,7 °C za 1981 – 2010, resp. +2,0 °C za 1961 – 1990. Odchýlky sa vyskytovali v intervale -0,4 °C až +2,6 °C s priemernou hodnotou +0,8 °C. November 2022 bol o -2,4 °C chladnejší ako najteplejší november v r. 2019, resp. o +7,0 °C teplejší ako najchladnejší november v r. 1988. Najvyššiu priemernú mesačnú (novembrovú) teplotu vzduchu sme zaznamenali v Bratislave na letisku 7,0 °C, 13. najvyššia (resp. 80. najnižšia) aspoň od r. 1931 s odchýlkou od priemeru hodnôt z obdobia 1991 – 2020 +1,3 °C. Najnižšiu na Lomnickom štíte -4,0 °C, 19. najvyššia (resp. 74. najnižšia) aspoň od r. 1931 s odchýlkou +1,2 °C od 1991 – 2020). Najvyššiu kladnú odchýlku sme zaznamenali v Lome nad Rimavicou +1,8 °C, najnižšiu v Červenom Kláštore ‑0,4 °C.
To, že november bol teplotne nadnormálny v Bratislavskom, Banskobystrickom a Košickom kraji môžu najmä vyššie minimálne teploty vzduchu, ktoré v priemere dosahovali odchýlku od hodnôt z 1991 – 2020 +1,5 °C a lokálne až +2,6 °C (Rimavská Sobota).
Obr. 1: Vývoj odchýlky priemernej dennej teploty vzduchu [°C] od normálu 1991 - 2020 na vybraných meteorologických staniciach na Slovensku v období v období 1.9. - 30.11.2022 (zdroj: SHMÚ).
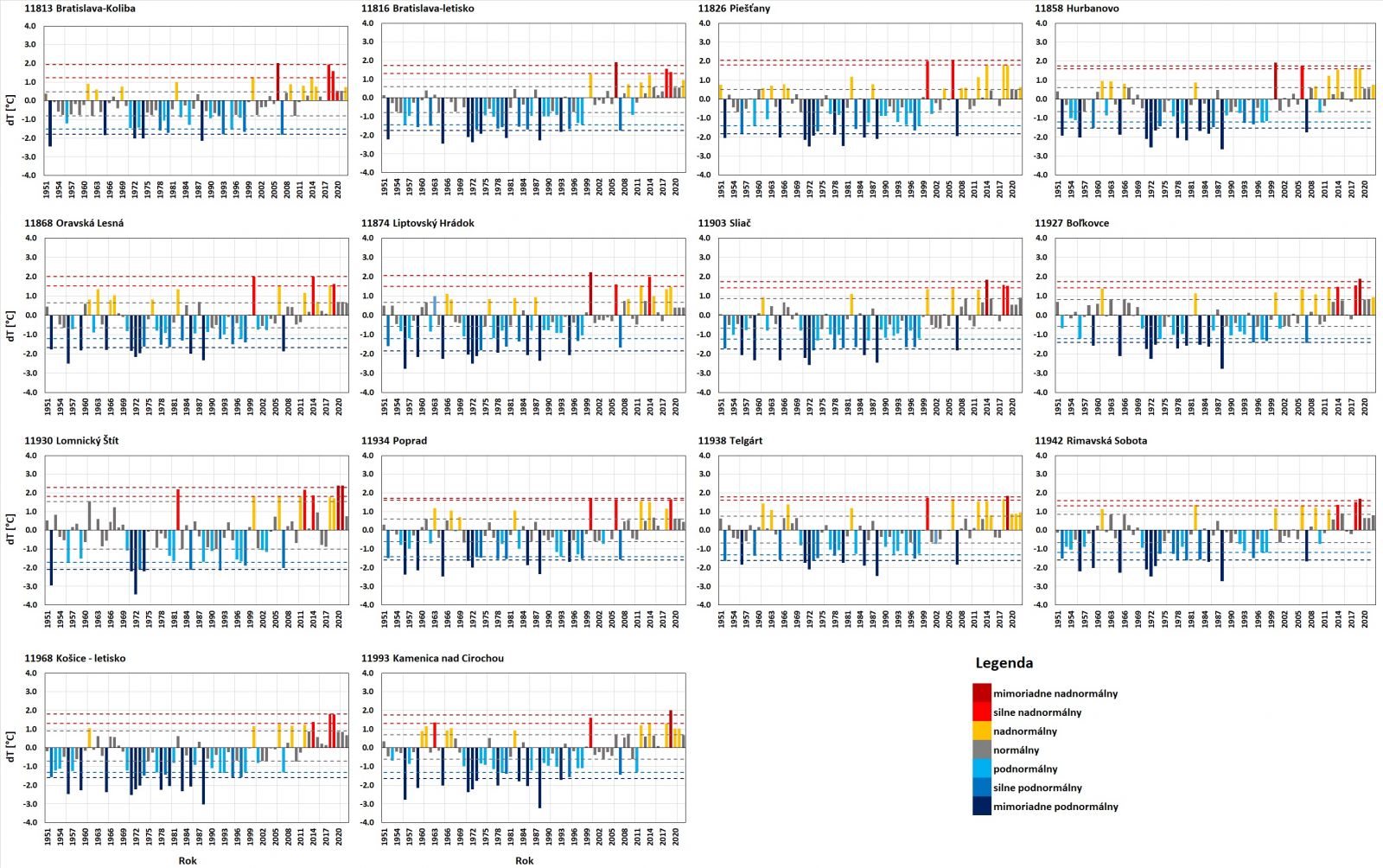
Obr. 2: Odchýlka priemernej teploty vzduchu [°C] od normálu 1961 - 1990 na vybraných meteorologických staniciach v období rokov 1951 - 2022 (zdroj: SHMÚ).
Atmosférické zrážky a sucho
V priebehu tohtoročnej jesene sa sucho na Slovensku neprejavovalo tak výrazne ako v lete a na jar. Prispeli k tomu výdatnejšie zrážky v druhej a tretej dekáde septembra. V októbri a v novembri však bolo opäť menej zrážok. Nedostatok zrážok v posledných dvoch tretinách tohtoročnej jesene sa prejavil viac v niektorých hydrologických charakteristikách. Naopak, pohľad do prírody, poskytol v jeseni v roku 2022, často sviežejšiu a zelenšiu krajinu, ako to bolo v niektorých obdobiach v lete. Zhodnotenie atmosférických zrážok v jednotlivých mesiacoch nájdete v našom bulletine: https://www.shmu.sk/sk/?page=1613&id=&rok=2022&mesiac=9
Meteorologické sucho:
Na začiatku septembra 2022 bolo extrémne sucho podľa indexov SPEI a SPI na juhovýchode a krajnom východe Slovenska. Počas septembra bolo postupne dostatok zrážok a začali prevažovať normálne až mierne vlhké podmienky. Veľmi vlhko bolo v druhej polovici septembra v Oravskej Lesnej, Tisinci a podľa indexu SPI krátkodobo aj v Senici, Milhostove a Michalovciach. Na začiatku októbra boli na väčšine Slovenska normálne až veľmi vlhké podmienky. Extrémne vlhko bolo len lokálne na východe a Orave. V priebehu októbra sa situácia postupne zhoršovala a na konci októbra už prevažovali normálne až mierne suché vlahové podmienky. Veľmi sucho bolo podľa obidvoch indexov len v Hurbanove. Na začiatku novembra boli na väčšine Slovenska normálne vlahové podmienky. Mierne sucho bolo lokálne na Podunajskej nížine, v Žiline, na Orave a v Somotore. Veľmi sucho bolo len v Čadci. V druhej polovici novembra sa situácia ešte viacej zhoršila a na konci novembra bolo veľmi sucho už na 8 staniciach a extrémne sucho bolo v Banskej Štiavnici. Deficit zrážok za obdobie posledných 90 dní bol v tretej dekáde novembra najvyšší -68 mm v Banskej Štiavnici, -65 mm v Topoľčanoch a -59 mm v Banskej Bystrici.
Pôdne sucho:
Na začiatku septembra bolo extrémne sucho v celom pôdnom profile na východnom Slovensku, najmä v oblasti Zemplína, Gemera, Spiša a Abova. Relatívne nasýtenie na začiatku septembra bolo pod hranicou 10 % na juhovýchode Slovenska a lokálne aj na juhu Podunajskej nížiny. Deficit pôdnej vlahy bol najviac -80 až -100 mm v okolí Vihorlatu a na Zemplíne. Počas septembra sa situácia postupne zlepšovala. Najskôr zlepšenie nastalo v povrchovej vrstve 0-40 cm, keď už v polovici mesiaca bolo takmer celé územie Slovenska bez rizika sucha. V hlbšej vrstve (40-100 cm) sa vlaha dopĺňala pomalšie. Ešte na prelome septembra a októbra bolo extrémne sucho v hlbšej vrstve ojedinele na juhu stredného a východného Slovenska, a na juhu Podunajskej nížiny bolo výrazné sucho. V priebehu októbra sa postupne intenzita sucha na Above zmierňovala, ale mierne až výrazné sucho sa v profile 0-100 cm rozšírilo na Podunajskej nížine, najmä v oblasti Žitného ostrova, Bratislavy a v okolí Pezinka. Výrazné sucho zasahovalo na konci októbra 0,5 % celkového územia. V hlbšej vrstve pôdy aj v októbri boli stále hodnoty nasýtenia pod 10 % na Žitnom ostrove a v okolí Bratislavy. V novembri sa začínajúce až mierne sucho rozširovalo hlavne na západnom Slovensku a na konci mesiaca celkovo zasahovalo spolu 20 % územia. Na konci novembra bolo extrémne sucho lokálne v hlbšej vrstve 40-100 cm na Žitnom ostrove. Bez rizika sucha bola východná časť nášho územia. Najvyššie hodnoty deficitu boli -40 až -60 mm v oblasti Podunajskej nížiny, Považia, Ponitria a Pohronia a najnižšie nasýtenie v profile 0-100 cm bolo v intervale 10-20 %.
Obr. 3: Denný úhrn atmosférických zrážok [mm] na vybraných meteorologických staniciach na Slovensku v období v období 1.9. - 30.11.2022 (zdroj: SHMÚ).
Obr. 4: Denný vývoj celkovej výšky snehovej pokrývky [cm] na vybraných meteorologických staniciach na Slovensku v období v období 1.9. - 30.11.2022 (zdroj: SHMÚ).
Fenológia
Na našej fenologickej monitorovacej sieti prostredníctvom pozorovateľov sme zaznamenali dozrievanie plodov ovocných drevín najmä jesenných a zimných odrôd jabloní, hrušiek, ale aj rôznych odrôd viniča. U lesných a ovocných drevín sme zaznamenali fenologické fázy žltnutia a neskôr opad listov. Poľnohospodári siali najmä ozimné formy obilnín, ale počas jesenných mesiacov sme zaznamenali aj zber kukurice, cukrovej a kŕmnej repy a slnečnice.
Fenologická fáza všeobecného žltnutia listov lesných drevín dub Quercus spp., buk lesný (Fagus silvatica), hrab obyčajný (Carpinus betulus) nastala na viacerých lokalitách najmä západného Slovenska (lokality najviac zasiahnuté suchom počas letných mesiacov) v priemere o 2 týždne skôr v porovnaní s dlhodobým normálom 1991-2020, pričom samotný začiatok opadu listov nastal v priemere o týždeň neskôr v porovnaní s dlhodobým normálom. Skorší nástup žltnutia listov mohol byť spôsobený pretrvávajúcim pôdnym suchom v pôdnom profile 0-100cm, ktoré sme zaznamenali najmä v Podunajskej nížine. V lokalitách stredného a východné Slovenska sme zaznamenali pokračovanie trendu nástupu všetkých jesenných fáz do neskorších termínov (v priemere 1 týždeň v porovnaní s dlhodobým normálom 1991-2020). V rámci celého Slovenska sme na väčšine fenologických staníc zaznamenali aj relatívne dobrú semennú úrodu u buka, či duba, pričom najbohatšia úroda bola zaznamenaná na drevine hrab. Vyskytli sa aj lokality, kde pozorovatelia nezaznamenali žiadnu semennú úrodu (Turiec, Horehonie, Vihorlat).
V niektorých lokalitách Slovenska sme zaznamenali prostredníctvom mesačných hlásení pozorovateľov aj druhé pučanie púčikov a druhé všeobecné zalisťovanie napríklad na okrasných drevinách (orgován), ale aj lesných drevinách (buk, dub). Na ovocných stromoch sa vyskytlo kvitnutie najmä na jabloniach spôsobené najmä výraznými výkyvmi teplôt počas letných mesiacov.
Negatívne dopady sucha na lesné a poľnohospodárske spoločenstvá sme zaznamenávali aj počas mesiacov september, október, november v rámci monitoringu sucha na Slovensku – „Intersucho“ (https://www.intersucho.cz/sk/?mapcountry=sk&from=2022-11-14&to=2022-12-12¤t=2022-12-11). Napriek vyskytujúcim sa zrážkam počas jesene 2022 sme zaznamenali vo viacerých okresoch zlyhanie výsadieb lesných drevín spôsobených práve suchom. Najhoršia situácia bola počas mesiaca október najmä na východnom Slovensku, kde sme neúspešnú výsadbu najmä buka lesného a topoľa, v okresoch Lučenec to bola drevina dub zimný, na západe sme zaznamenali v okrese Malacky neúspešnú výsadbu borovice lesnej. Zaujímavé je, že ešte aj v mesiaci november sme zaznamenávali v niektorých spomenutých okresoch pretrvávajúce negatívne dopady na lesné výsadby.
Negatívny dopad sucha na poľnohospodárske plodiny pozorovatelia „Intersucha“ zaznamenávali prakticky počas celej jesene najmä počas zberu plodín a to najmä v okresoch nachádzajúcich sa v Podunajskej nížine, ale aj v okresoch Východoslovenskej nížiny. Negatívny dopad zaznamenali poľnohospodári najmä na kukurici pestovanej na zrno a cukrovej repe, ale zo začiatku jesene aj na zemiakoch.
Obr. 5: Odhadované dopady sucha na lesné porasty v mesiacoch september-november 2022 v rámci monitoringu Intersucho.
Obr. 6: Odhadované dopady sucha na poľnohospodárske plodiny v mesiacoch september-november v rámci monitoringu Intersucho
Obr. 7: Denný vývoj slnečného svitu [h] na vybraných meteorologických staniciach na Slovensku v období v období 1.9. - 30.11.2022 (zdroj: SHMÚ).













